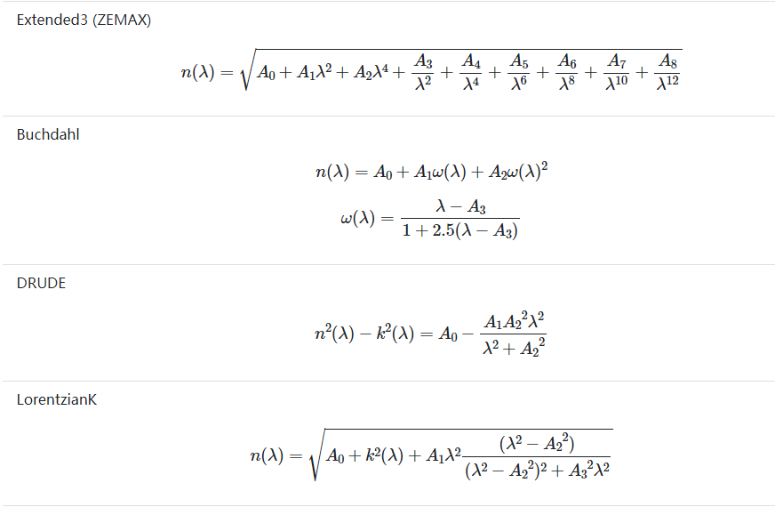
折射率n的色散式

A0, A1, A2, A3, A4, A5, A6, A7, A8, A9为物质决定的定数。
λ的单位为μm (不包括Forouhi-Bloomer)。

B0, B1, B2为物质决定的定数。
λ的单位为μm (不包括Forouhi-Bloomer)。